DS1100是一款嵌入式、经济型的超紧凑激光扫描器,该产品具有以下特征:非常紧凑的尺寸,电机开/关可控,在短的读取距离时读取宽度也较大,重量轻<100克,内置RISC解码器,扫描速度为500次/秒,两个高速串行接口,IP65的防护等级。
· 直式或90度的阅读窗口
· 扫描频率:500次/秒
· 2个输入 + 2个输出
· RS232 + RS485串口
· 5伏直流电压
· Winhost设置软件
· 固有的读取范围:50 - 200毫米
该系列产品目前可以满足以下应用需求:
· 生物医学分析机器
· 自动贴标系统
· 自动柜员机(ATM)
· 视频租赁机器
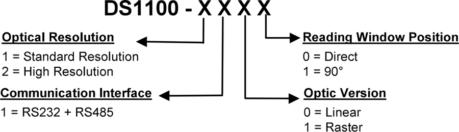
型号描述:
产品序列提供以下型号:
产品订货号 | 产品描述 |
939101000 | DS1100-1100 ST-RES,RS232 +RS485, LIN,DIR |
939101010 | DS1100-1101 ST-RES,RS232 +RS485, LIN,90° |
939101020 | DS1100-1110 ST-RES,RS232 +RS485, R1, DIR |
939101030 | DS1100-1111 ST-RES,RS232 +RS485, R1, 90° |
939101040 | DS1100-2100 HI-RES,RS232 +RS485, LIN,DIR |
939101050 | DS1100-2101 HI-RES,RS232 +RS485, LIN,90° |
939101060 | DS1100-2110 HI-RES,RS232 +RS485, R1, DIR |
939101070 | DS1100-2111 HI-RES,RS232 +RS485, R1,90° |
939101364 | DS1100-2011080 |
以下附件可用于简化安装和优化产品性能:
产品订货号 | 产品描述 |
93A201101 | GFC-TC1100 80 DEG.MIRROR |
93ACC1670 | TC1100 REFERENCE MANUAL+CONFIGURATOR SW |
93ACC1780 | ADP-015 ADAPTER 25P 10-30VDC |
93ACC1771 | DS1500 CONF. SW+RF MANUAL DOCS |
93A201030 | GFC-2200 90° READING DEVICE |
93ACC1040 | DC5-2200 DC CONVERTER 4-30 VDC TO 5 V |
刘小姐15876900161【微信同号】
丁小姐 13825015446【微信同号】
地址:东莞市松山湖区工业数字大厦E1-514室
邮箱:dgfeiyu168@163.com
网址:www.dgfyauto.com

扫一扫,关注我们